

近日,色情片 魏洋教授课题组同期在土木工程领域国际著名期刊《Engineering Structures》(中科院1区Top)发表了钢-竹组合结构多项研究成果。成果获得了国家自然科学基金项目、江苏省自然科学基金项目等资助。
随着碳中和、碳达峰国家战略的不断深入推进,竹木材料与结构在土木工程领域的研究与发展备受关注。为充分发挥钢竹两种材料的优势,课题组创新提出了两种新型钢-竹组合结构:钢管约束竹组合柱(BST)和型钢部分包裹竹组合柱(PEBS)。钢-竹组合结构不仅可以克服竹材单独承载时过早的劈裂破坏,还可以提升钢结构的稳定性和抗屈曲能力。
针对钢管约束竹组合柱(BST),课题组开展了一系列钢管约束竹柱的轴压力学性能研究,重点分析了长宽比和钢管厚度对矩形钢管-竹组合柱轴压力学性能和破坏模式的影响,量化了各参数与强度指标之间的关系,基于钢管约束效应,提出了具备高预测精度的矩形钢管-竹组合柱的轴压强度预测模型;针对型钢部分包裹竹组合柱(PEBS),开展了不同偏心距和长细比影响下的偏压力学性能研究,通过试验及理论研究,深入探究了偏心距和长细比对组合柱偏压承载力和变形性能,定量分析了偏心率和长细比对组合柱偏压承载力的影响规律,基于试验结果,提出了型钢部分包裹重组竹组合柱偏压承载力模型,预测效果良好。
钢管约束竹组合柱的轴压承载能力具有明显提高,钢管的约束有效延缓了竹材承压脆性劈裂破坏的,表现出优异的延性和能量吸收能力;型钢部分包裹竹组合柱在偏压下表现为明显的压弯破坏,钢与竹材具有较好的协同变形,承载力受偏心距影响显著,随偏心距增加呈下降趋势,长细比变化对组合柱的变形能力与延性影响显著。
近年来,课题组聚焦绿色低碳竹木结构,创新结构形式,提出并开展了钢-竹组合结构计算理论研究。研究成果为新型钢-竹组合结构的工程应用提供理论参考,对减少传统高能耗材料的消耗,促进绿色可再生生物质资源的利用具有重要的意义。
有较好的协同变形,承载力受偏心距影响显著,随偏心距增加呈下降趋势,长细比变化对组合柱的变形能力与延性影响显著。
近年来,课题组聚焦绿色低碳竹木结构,创新结构形式,提出并开展了钢-竹组合结构计算理论研究。研究成果为新型钢-竹组合结构的工程应用提供理论参考,对减少传统高能耗材料的消耗,促进绿色可再生生物质资源的利用具有重要的意义。
矩形钢管约束竹组合柱示意图

矩形钢管约束竹组合柱破坏形态

(a) 长宽比的影响 (b) 宽厚比的影响
矩形钢管约束竹组合柱承载强度和初始刚度对比

矩形钢管约束竹组合柱长宽比和宽厚比对强度因子的影响

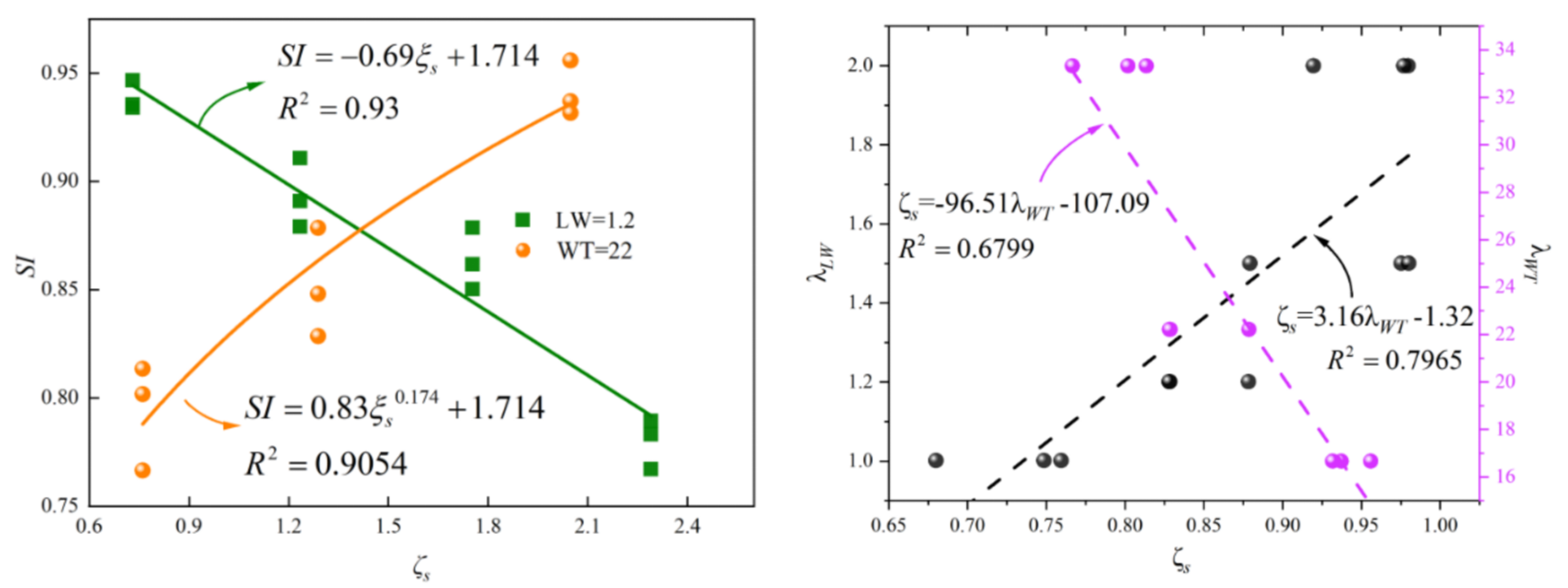
矩形钢管约束竹组合柱约束系数与强度因子和长宽比/宽厚比的关系

型钢部分包裹重组竹柱试验加载与测量方案

不同偏心距型钢部分包裹重组竹柱破坏形态

不同长细比型钢部分包裹重组竹柱破坏形态

(a) 不同偏心距试件对比 (b) 不同长细比试件对比
型钢部分包裹重组竹柱荷载—侧向挠度曲线

(a)偏心距影响系数模型 (b)长细比影响系数
不同偏心距和长细比型钢部分包裹重组竹柱承载力计算模型
供稿:张子诚;供图:邢泽;初审:李强;终审:魏洋;编辑:许历隆




